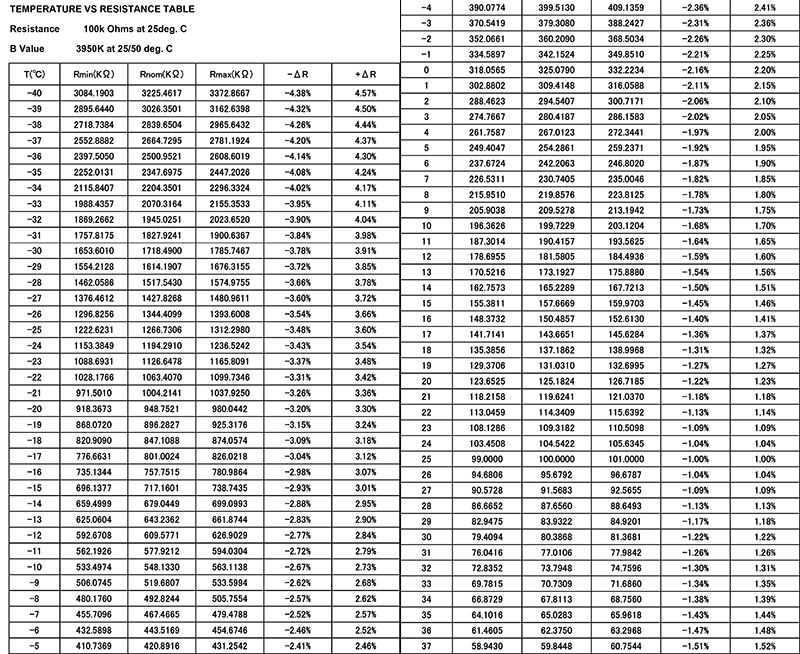
K值對照表是一種用于對比不同廠家100K熱敏電阻特性的工具。它提供了不同熱敏電阻在不同溫度下的阻值信息,使得用戶能夠根據實際需求選擇合適的電阻。
通過100K值對照表,用戶可以快速定位所需溫度范圍內阻值接近目標值的熱敏電阻。這對于設計師和工程師來說非常重要,因為它能幫助他們選擇合適的電阻來滿足特定溫度傳感器或電路的要求。



(此為小黑頭100k的阻值表,如需其他電阻器的阻值請聯系我們源林電子)
在實際應用中,根據具體需求和工作條件,還需要考慮其他因素,如熱敏電阻的穩定性、響應時間等。因此,在選取熱敏電阻時,可以綜合考慮多個指標,并參考廠家提供的數據手冊。希望本文對您有所幫助!選擇合適的100K熱敏電阻是確保電路穩定工作的關鍵,祝您順利完成您的項目!
如您有產品需求或者技術疑問都可以找我們東莞源林電子,作為電子元器件行業的專業廠商,我們將一如既往地為您提供優質的一對一應用行業選型技術指導服務,幫助您選擇適合自身產品的電阻,從而實現佳的設計和應用效果.我們致力于優質電阻的研發,產品皆已通過ISO9001及TS16949的品質管理系統,相關產品通過UL、CSA、VDE、TUV、CQC等國際安規系統的認證,自有工廠,產品規格齊全,庫存量大,可滿足各行各業的不同需求。公司擁有專業的技術團隊和全方位的售后服務服務體系,在為您提供優質電阻的同時,解決您所有的技術難題!

您好,歡迎蒞臨源林電子,歡迎咨詢...
![]() 觸屏版二維碼 |